關鍵詞搜索:
PM2.5標準品,SRM1648a城市顆粒物,05/112低分子量肝素,細菌內毒素USP標準品
CRM-PTX2 蛤毒素-2校準溶液的穩(wěn)定性
CRM-PTX2(批號20021127)在甲醇中的短期和長期穩(wěn)定性先前采用經典穩(wěn)定性研究設計進行評估。以相同的方式制備CRM-PTX2-b,并且合理地假設了等效的穩(wěn)定性。在30天的時間內,在+20°C以下的溫度下,未觀察到PTX2降解,表明短期內具有良好的穩(wěn)定性。然而,在+37℃下30天后,PTX2的降解變得顯著。針對每個儲存溫度計算1年長期穩(wěn)定性數據的回歸,并測試其顯著性。在+4°C以下的所有條件下,回歸均不顯著。使用-12 C斜率的標準誤差確定與長期穩(wěn)定性評估相關的不確定性(見不確定性部分)。長期穩(wěn)定性(uns)導致的相對不確定度為0.77%。CRM-PTX2-b的建議存儲溫度為-12℃。
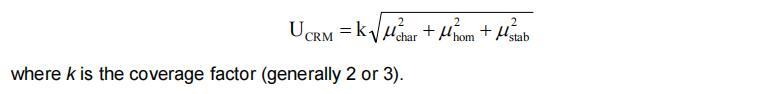
CRM-PTX2 蛤毒素-2校準溶液的不確定性
CRM-PTX2-b的總體不確定度估計值(Ucew)包括與批次表征(uchar)、瓶間變化(Jhom)和長期貯存穩(wěn)定性(Jsta)相關的不確定度[6J。這些成分可根據以下內容進行組合和擴展:

考慮并量化了與CRM-PTX2-b表征相關的所有合理誤差源。通過qNMR和LC-MS對CRM-PTX2-b進行定量分析,得到0.065μ。對CRM-PTX2譜帶進行了廣泛的同質性研究,未檢測到明顯的異質性。當用umolL表示時,長期穩(wěn)定性(Jstab)的不確定度被確定為0.039μ。將所有這些不確定源與覆蓋因子2相結合,以估算與CRM-PTX2-b認證值相關的最終不確定度,如表2所示。

東莞市百順生物科技有限公司專業(yè)提供CRM-PTX2 蛤毒素-2校準溶液,歡迎咨詢定購!